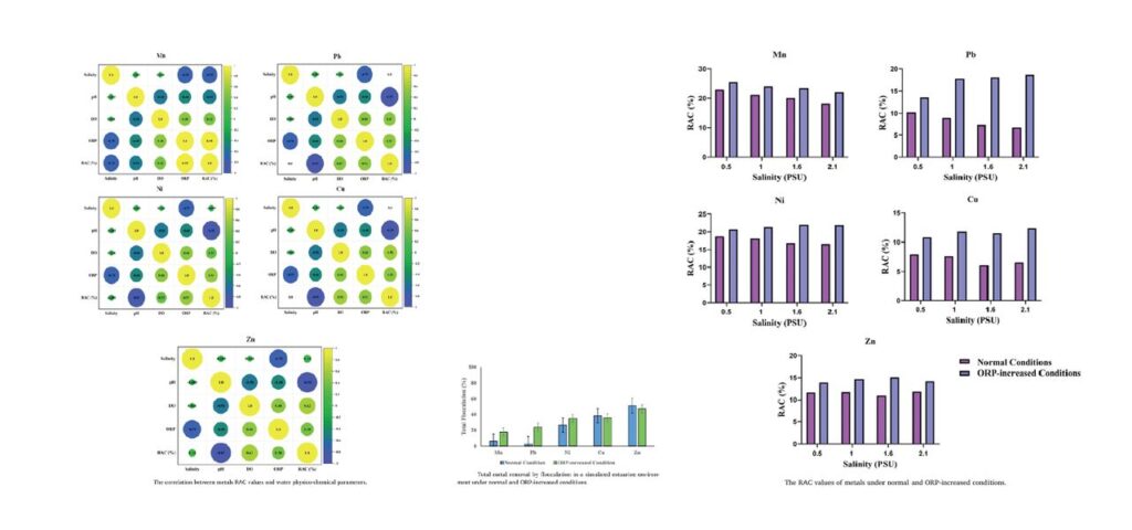
تهران- ایرنا- نقش ظرفیت اکسیداسیون-کاهش (ORP) و شوری در فرایند فلکولاسیون (لختهسازی) و رفتار فلزات سنگین در مصب رودخانه پلرود و دریای خزر، توسط محققان دانشگاه تهران بررسی شد.
مدیریت آلودگی فلزات در مصبها و طراحی راهکارهای مؤثر پالایش


تهران- ایرنا- نقش ظرفیت اکسیداسیون-کاهش (ORP) و شوری در فرایند فلکولاسیون (لختهسازی) و رفتار فلزات سنگین در مصب رودخانه پلرود و دریای خزر، توسط محققان دانشگاه تهران بررسی شد.